Acetoacetic Ester Synthesis
Acetoacetic Ester Synthesis
The combined process of synthesizing desire alkylated derivatives of acetone from acetoacetic ester via alkylation of acetoacetic ester followed by hydrolysis and decarboxylation is called as acetoacetic ester synthesis.

Mechanism:

In the final product the alpha carbon and the acetyl group come from acetoacetic ester. Any other substituent at the alpha position comes from the alkyl halide.
Retrosynthetic analysis:
The acetoacetic ester synthesis can be used to prepare any desired alkylated derivatives of acetone. For example, for the synthesis of 3-methyl-2-pentanone following procedure is adopted.
First identify the groups coming from acetoacetic ester and alkyl halide(s).

There are two substituents (ethyl = red and methyl = blue) at alpha position. These two substituents will come from alkyl halides. Next, the alpha carbon and the acetyl group will come from acetoacetic ester.

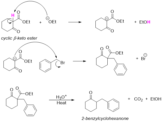
The three step reaction i.e., formation of enolate, alkylation of enolate and hydrolysis followed by decarboxylation is also used to synthesize alpha substituted cyclohexanones. For example, 2-benzylcyclohexanone can be synthesized by alkylating ethyl 2-oxocyclohexanecarboxylate (cyclic β-keto ester) followed by hydrolysis and decarboxylation. It is important for the cyclic β-keto ester to contain alpha hydrogen.

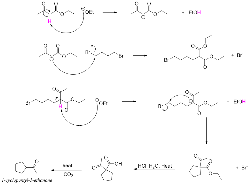
The acetoacetic ester synthesis procedure is also utilized to prepare acetylcycloalkanes. For example, when acetoacetic ester is reacted with 1,4-dibromobutane in the presence of two equivalents of base followed by decarboxylation forms 1-cyclopentyl-1-ethanone.

