Friedel Crafts Acylation
Friedel Crafts Acylation of Benzene
It is a type of electrophilic aromatic substitution reaction in which the hydrogen atom on benzene is replaced by an acyl group.

An acyl group represents carbonyl group to which an alkyl group is attached. Generally, acyl group is represented as.

Following are some examples of acyl groups.

In Friedel Crafts acylation reactions, an acyl chloride is used as a source of acyl group required for the electrophilic substitution reaction.

F. C. Acylation reaction is carried out by reacting benzene with acyl chloride in the presence of Lewis acid as a catalyst.

The mechanism involves two steps. i) Generation of strong electrophile (acylium ion) by reacting acyl chloride and Lewis acid.


As the final product in F. C. acylation contains carbonyl functional group thus, the carbonyl oxygen makes a complex with Lewis acid. Therefore, the Lewis acid is used in slight access.

In order to set free the product from the complex, water is added in workup step of the reaction.

The acylium ion (electrophile) can also be generated by using anhydrides. The mechanism is shown below.

The synthesis of benzaldehyde from formyl chloride and benzene is problematic as the electrophile (oxomethylium ion) is highly unstable. Therefore, an alternate reaction called Gatterman-Koch reaction is being employed to synthesize benzaldehyde. This reaction generates unstable formyl chloride in situ (during the reaction) which directly reacts with benzene in the presence of Lewis acid and CuCl.

The acyl group being electron withdrawing in nature decreases the electron density on benzene ring making it electron deficient hence, making it less reactive. Due to this effect multiple substitutions are not observed in F. C. Acylation reactions.
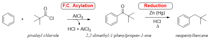
One of the major applications of F. C. Acylation reaction is the synthesis of unbranched alkyl benzenes. For this purpose, F. C. acylation is followed by Clemmensen reduction which helps in avoiding the rearrangements of carbocations produced in F. C. Alkylation reactions.

In above reaction neopentylbenzene (desired product) is not formed due to rearrangement of carbocation.

Therefore, F. C. acylation followed by reduction can yield the desired product.

