Login
Textbook
Cheat Sheets
Question 4 of 20
Share
Show
Answer
Video
Solution
Print
QUestion
prev
next
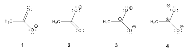
reWhich of the following resonance structures is the least important contributor to the resonance hybrid of the acetate anion, CH
3
CO
2
?
(A)
1
(B)
2
(C)
3
(D)
4
(E)
1 and 2
Video Solution
×
Submit and Continue
<<
>>
1
2
3
4
5
6
7
8
9
10
11
12
13
14
15
16
17
18
19
20
Finish
Question Summary
×
Question 1
Question 2
Question 3
Question 4
Question 5
Question 6
Question 7
Question 8
Question 9
Question 10
Question 11
Question 12
Question 13
Question 14
Question 15
Question 16
Question 17
Question 18
Question 19
Question 20
TOP