Login
Textbook
Cheat Sheets
Question 13 of 20
Share
Show
Answer
Video
Solution
Print
QUestion
prev
next
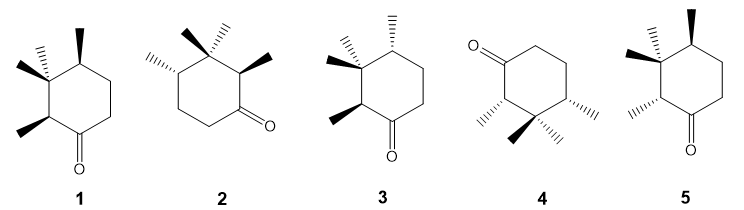
Which of the above structures is a diastereomer of
A
?
(A)
3
(B)
1 and 4
(C)
2 and 3
(D)
4
(E)
5
Video Solution
×
Submit and Continue
<<
>>
1
2
3
4
5
6
7
8
9
10
11
12
13
14
15
16
17
18
19
20
Finish
Question Summary
×
Question 1
Question 2
Question 3
Question 4
Question 5
Question 6
Question 7
Question 8
Question 9
Question 10
Question 11
Question 12
Question 13
Question 14
Question 15
Question 16
Question 17
Question 18
Question 19
Question 20
TOP