Orgoreview

Question Vault

Welcome to orgoreview question vault. We have 5000 more problems for you to solve.

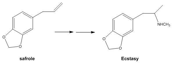
Recent news reports have indicated that persons unknown have attempted to secure large quantities of safrole, the principal component of oil of sassafras, responsible for the flavor of traditional root beer.  Safrole is a restricted compound because of its structural relationship to the drug of abuse called “Ecstasy,” 3, 4-methylenedioxymethamphetamine.



Show how an unscrupulous person might chemically convert safrole to “Ecstasy.”  (But do not attempt to do this at home.)
TOP