Orgoreview

Question Vault

Welcome to orgoreview question vault. We have 5000 more problems for you to solve.

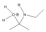
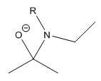
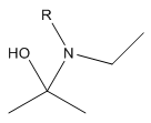
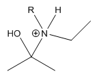
Depending on whether R = H or an ethyl group, the following reaction will yield an imine or enamine. The mechanisms for each reaction are very similar and go through several intermediates. Choose the structure that represents the last common intermediate for the two reactions, which undergoes a different mechanistic step depending on whether R = H or ethyl.

Video Solution

TOP