Login
Textbook
Cheat Sheets
Orgoreview
Question Vault
Welcome to orgoreview question vault. We have 5000 more problems for you to solve.
Share
Show
Answer
Print
QUestion
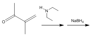
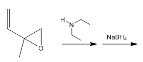
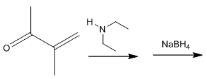
Choose the reaction sequence that would lead to a key intermediate in the synthesis of the coronary vasodilator ganglefene.
(A)
(B)
(C)
(D)
(E)
TOP