Orgoreview

Question Vault

Welcome to orgoreview question vault. We have 5000 more problems for you to solve.

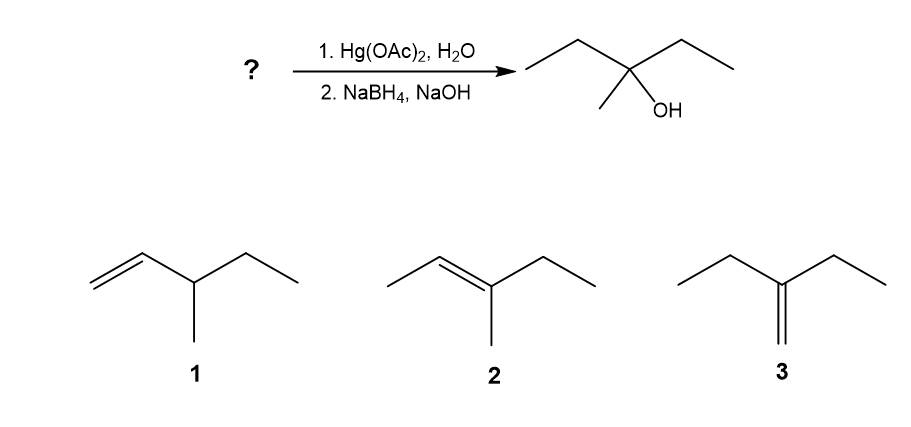
Choose the alkene(s) that could be used to produce 3-methyl-3-pentanol as the

major product of the following reaction.

TOP