Login
Textbook
Cheat Sheets
Orgoreview
Question Vault
Welcome to orgoreview question vault. We have 5000 more problems for you to solve.
Share
Print
QUestion
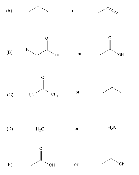
For each of the following pairs of compounds circle the one with the hydrogen of greatest acidity.
TOP