Login
Textbook
Cheat Sheets
Orgoreview
Question Vault
Welcome to orgoreview question vault. We have 5000 more problems for you to solve.
Share
Show
Answer
Print
QUestion
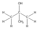
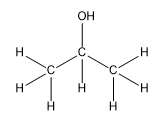
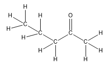
In addition to 2-butanone, a second product is formed in the following acid-base reaction. Choose the structure for this second product.
(A)
(B)
(C)
(D)
(E)
TOP