Orgoreview

Question Vault

Welcome to orgoreview question vault. We have 5000 more problems for you to solve.

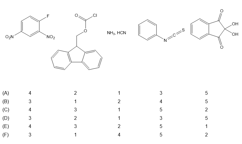
Each of the following reagents is used for the study of amino acids and/or peptides.  Assign the role of each from the following choices by choosing the answer that has the appropriate number listed under each reagent structure.


  1. Amino acid synthesis
  2. Peptide synthesis
  3. N-terminal amino acid identification
  4. C-terminal amino acid identification
  5. Amino acid detection
TOP