Orgoreview

Question Vault

Welcome to orgoreview question vault. We have 5000 more problems for you to solve.

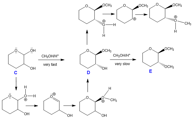
The conversion of C to D is very fast whereas the conversion of D to E is very slow.

(a) Using the curved arrow formalism, show the bond breaking and bond making in the conversion of C to D.

(b) Give an explanation for why the conversion of D to E is slow compared to the conversion of C to D.

TOP