Login
Textbook
Cheat Sheets
Orgoreview
Question Vault
Welcome to orgoreview question vault. We have 5000 more problems for you to solve.
Share
Show
Answer
Print
QUestion
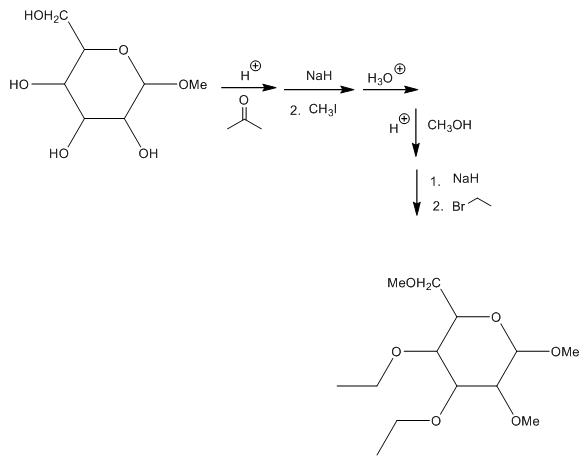
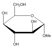
Choose the correct D-1-O-methyl-pyranose reactant that would give the general structure shown as the only major product.
(A)
(B)
(C)
(D)
(E)
TOP