Orgoreview

Question Vault

Welcome to orgoreview question vault. We have 5000 more problems for you to solve.

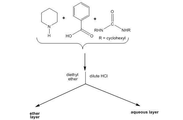
A professor wanted to prepare an amide by reacting benzoic acid with an amine, piperidine, using DCC. Unfortunately, the professor stopped the reaction by adding water before it was complete and ended up with a mixture of cyclohexylurea, benzoic acid and piperidine. The product mixture was separated using the following reaction scheme. Choose the letter where the carboxylic acid would be found.

Video Solution

TOP