Orgoreview

Question Vault

Welcome to orgoreview question vault. We have 5000 more problems for you to solve.

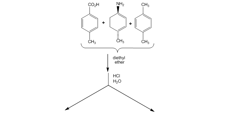
A student in the lab had a mixture of three compounds, 4-methylbenzoic acid, 4-methylcyclohexylamine and 1, 4-dimethylbenzene. In order to separate the three compounds the following extraction (separation) scheme was followed. At the end of the procedure the student had six separate flasks containing either an aqueous or an ether solution. Locate each compound by designating the flask expected to contain each compound.  Some relevant pKa data is given.




Which flask contains the 1,4-dimethylbenzene?


TOP