Orgoreview

Question Vault

Welcome to orgoreview question vault. We have 5000 more problems for you to solve.

(a) Give an acceptable structure for 1-phenyl-2-propanamine.

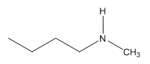
(b)  Give an acceptable name for the following amine.

TOP