Login
Textbook
Cheat Sheets
Orgoreview
Question Vault
Welcome to orgoreview question vault. We have 5000 more problems for you to solve.
Share
Show
Answer
Print
QUestion
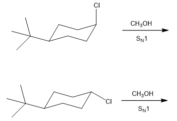
Choose the incorrect statement about the following reactions.
(A)
Both reactions proceed through a carbocation intermediate.
(B)
The same mixture of products would be anticipated for both reactions.
(C)
The equatorial chloride is more stable than the axial chloride.
(D)
The rates of both reactions must be identical.
(E)
The addition of iodide ion (I) to the above reaction mixtures will not affect the rate of these reactions.
TOP