Orgoreview

Question Vault

Welcome to orgoreview question vault. We have 5000 more problems for you to solve.

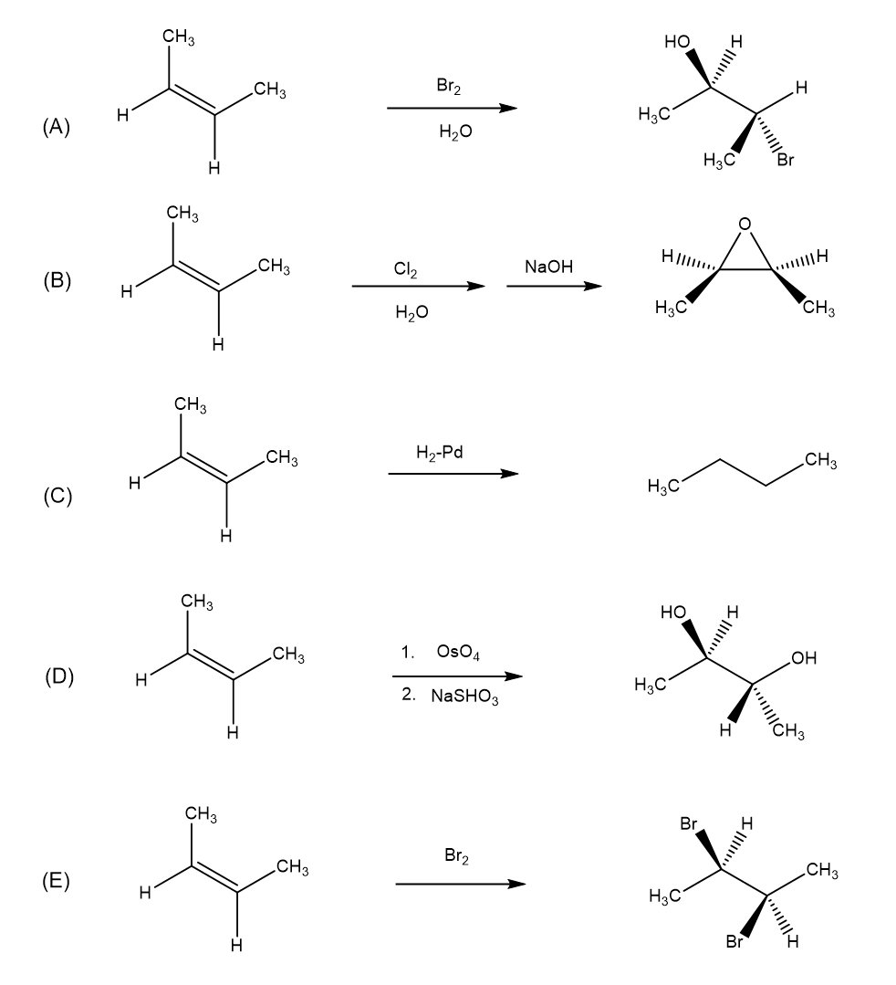
For which one of the following reactions is the indicated product incorrect?               

Note: If a product is chiral you may assume that the enantiomer is formed as well.



TOP