Login
Textbook
Cheat Sheets
Orgoreview
Question Vault
Welcome to orgoreview question vault. We have 5000 more problems for you to solve.
Share
Show
Answer
Video
Solution
Print
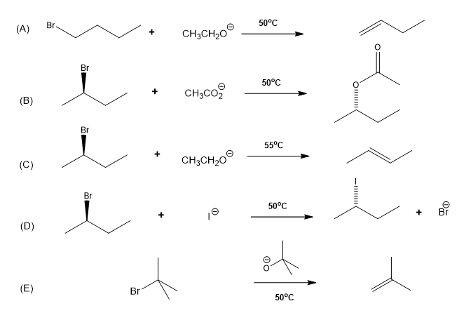
QUestion
Choose the answer that
incorrectly
shows the major organic product(s) of the reaction shown.
(A)
(B)
(C)
(D)
(E)
Video Solution
×
TOP