Login
Textbook
Cheat Sheets
Orgoreview
Question Vault
Welcome to orgoreview question vault. We have 5000 more problems for you to solve.
Share
Print
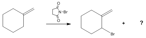
QUestion
The following reaction gives two major products. One of them is shown below. Draw the other major product.
TOP