Login
Textbook
Cheat Sheets
Orgoreview
Question Vault
Welcome to orgoreview question vault. We have 5000 more problems for you to solve.
Share
Show
Answer
Video
Solution
Print
QUestion
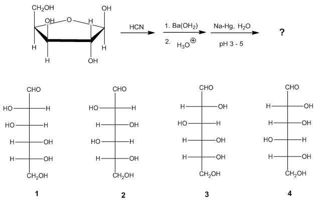
Choose the major products of the following Kiliani-Fischer synthesis.
(A)
1 and 2
(B)
1 and 3
(C)
1 and 4
(D)
2 and 3
(E)
2 and 4
(F)
3 and
Video Solution
×
TOP