Login
Textbook
Cheat Sheets
Orgoreview
Question Vault
Welcome to orgoreview question vault. We have 5000 more problems for you to solve.
Share
Print
QUestion
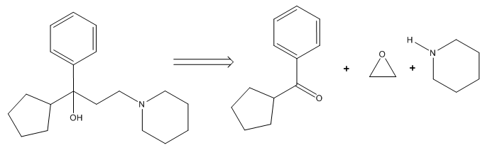
Propose a synthesis of cycrimine using the retrosynthetic analysis and reactants shown.
TOP