Login
Textbook
Cheat Sheets
Orgoreview
Question Vault
Welcome to orgoreview question vault. We have 5000 more problems for you to solve.
Share
Show
Answer
Print
QUestion
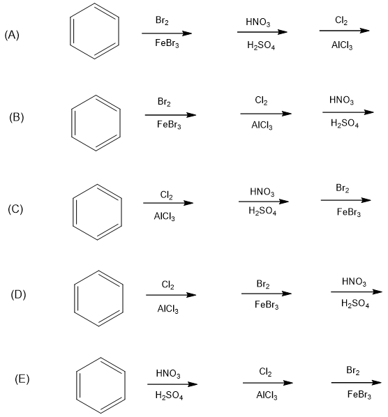
Which of the following synthetic schemes would be the best for the synthesis of the compound, 2-bromo-1-chloro-4-nitrobenzene?
(A)
(B)
(C)
(D)
(E)
TOP