Login
Textbook
Cheat Sheets
Orgoreview
Question Vault
Welcome to orgoreview question vault. We have 5000 more problems for you to solve.
Share
Show
Answer
Video
Solution
Print
QUestion
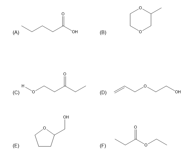
A student had three samples of unknown compounds of the formula C
5
H
10
O
2
, with the possible structures shown below. An IR was obtained for each sample. Idenitify each sample.
(A)
6 = A 7 = B 8 = E
(B)
6 = D 7 = B 8 = C
(C)
6 = F 7 = B 8 = E
(D)
6 = D 7 = F 8 = E
(E)
6 = A 7 = F 8 = C
Video Solution
×
TOP