Login
Textbook
Cheat Sheets
Orgoreview
Question Vault
Welcome to orgoreview question vault. We have 5000 more problems for you to solve.
Share
Show
Answer
Video
Solution
Print
QUestion
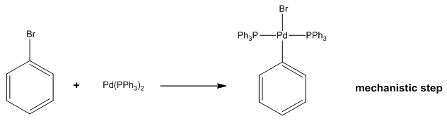
Choose the term that best describes the following mechanistic step in the Heck reaction.
(A)
Oxidative addition
(B)
Reductive elimination
(C)
Ligand association
(D)
Ligand dessociation
(E)
Ligand insertion
(F)
Ligand deinsertion
Video Solution
×
TOP