Login
Textbook
Cheat Sheets
Orgoreview
Question Vault
Welcome to orgoreview question vault. We have 5000 more problems for you to solve.
Share
Video
Solution
Print
QUestion
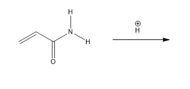
The oxygen is the most basic atom in the following amide. Draw three resonance structures of the product of the following reaction and arrange them in order of increasing importance.
Video Solution
×
TOP