Login
Textbook
Cheat Sheets
Orgoreview
Question Vault
Welcome to orgoreview question vault. We have 5000 more problems for you to solve.
Share
Video
Solution
Print
QUestion
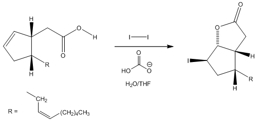
Propose a mechanism for the following key step in the synthesis of (-)-Preclavulone-A.
Video Solution
×
TOP