Login
Textbook
Cheat Sheets
Orgoreview
Question Vault
Welcome to orgoreview question vault. We have 5000 more problems for you to solve.
Share
Show
Answer
Show
Solution
Video
Solution
Print
QUestion
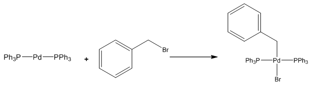
Organometallic reactions can be classified into fundamental reaction types. Classify the following reaction.
(A)
Ligand association
(B)
Ligand insertion
(C)
Ligand dissociation
(D)
Reductive elimination
(E)
Oxidative addition
Video Solution
×
TOP