Login
Textbook
Cheat Sheets
Orgoreview
Question Vault
Welcome to orgoreview question vault. We have 5000 more problems for you to solve.
Share
Print
QUestion
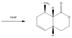
Complete the following pericyclic reactions by supplying the missing reactant.
TOP