Orgoreview

Question Vault

Welcome to orgoreview question vault. We have 5000 more problems for you to solve.

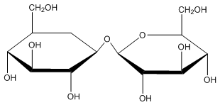
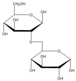
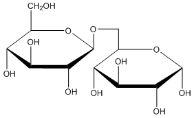
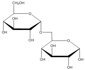
Gentiobiose is a disaccharide incorporated into the chemical structure of crocin, the chemical compound that gives saffron its color. Deduce the structure of gentiobiose from the following information.

a) Acid hydrolysis of gentiobiose yields only D-glucose.

b) Gentiobiose is hydrolyzed by β-glucosidase enzymes, but not by α-glucosidase enzymes.

c) Gentiobiose is a reducing sugar and reacts with sodium borohydride.

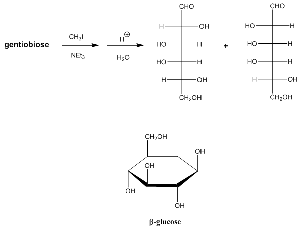
d) Methylation of gentiobiose followed by hydrolysis of the glycosidic bonds yields the two D-glucose derivatives shown below.




What is the structure of gentiobiose?
TOP