Login
Textbook
Cheat Sheets
Orgoreview
Question Vault
Welcome to orgoreview question vault. We have 5000 more problems for you to solve.
Share
Show
Answer
Print
QUestion
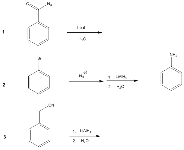
From the following reactions choose those that could be used to prepare aniline.
(A)
i
(B)
ii
(C)
iii
(D)
i and ii
(E)
i and iii
(F)
ii and iii
TOP