Login
Textbook
Cheat Sheets
Orgoreview
Question Vault
Welcome to orgoreview question vault. We have 5000 more problems for you to solve.
Share
Show
Answer
Print
QUestion
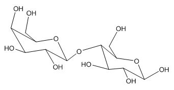
The following is the structure of lactose:
Which statement about lactose is NOT true?
(A)
Lactose is a disaccharide.
(B)
Hydrolysis of lactose will yield two Lsugars.
(C)
Hydrolysis of lactose will yield one mole of D-glucose and one mole of another D-sugar.
(D)
Hydrolysis of lactose will not yield any D-glucose.
(E)
Hydrolysis of lactose will yield two moles of D-glucose.
TOP