Login
Textbook
Cheat Sheets
Orgoreview
Question Vault
Welcome to orgoreview question vault. We have 5000 more problems for you to solve.
Share
Show
Answer
Show
Solution
Video
Solution
Print
QUestion
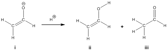
Choose those statements that are correct about the following reaction.
(A)
1
(B)
2
(C)
1&2
Video Solution
×
TOP