Login
Textbook
Cheat Sheets
Orgoreview
Question Vault
Welcome to orgoreview question vault. We have 5000 more problems for you to solve.
Share
Show
Answer
Video
Solution
Print
QUestion
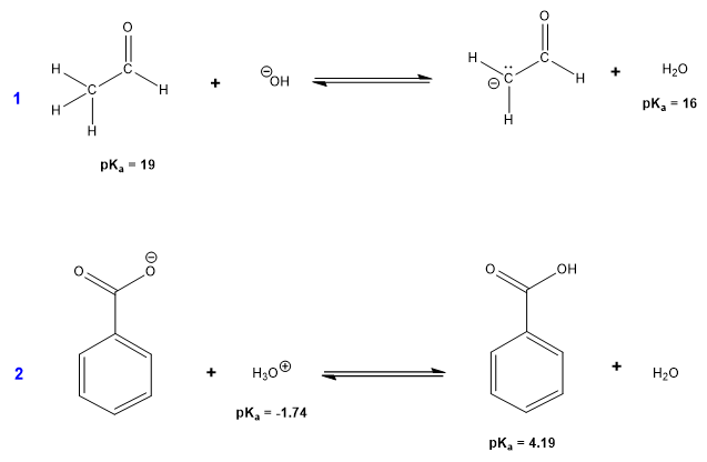
Using the pK
a
data, choose those reactions whose equilibrium favors the products on the right.
(A)
only 1
(B)
only 2
(C)
Both 1 and 2
(D)
neither 1 and 2
Video Solution
×
TOP