Login
Textbook
Cheat Sheets
Orgoreview
Question Vault
Welcome to orgoreview question vault. We have 5000 more problems for you to solve.
Share
Print
QUestion
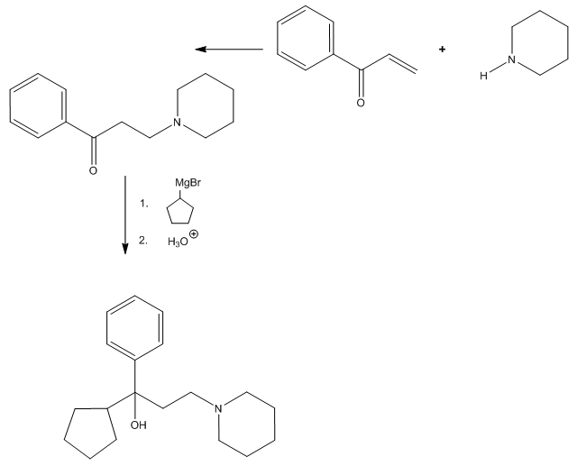
A synthesis of cycrimine is given below. Using the curved arrow formalism, postulate reaction mechanisms for the conversion of A to B and B to cycrimine.
TOP