Orgoreview

Question Vault

Welcome to orgoreview question vault. We have 5000 more problems for you to solve.

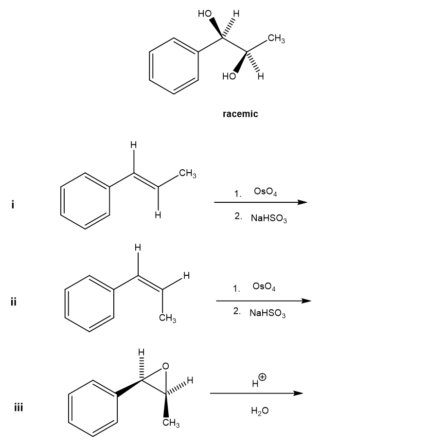
Choose those reactions that will produce the following glycol as a racemic mixture.

TOP