Orgoreview

Question Vault

Welcome to orgoreview question vault. We have 5000 more problems for you to solve.

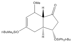
The isoprostanes are a group of natural products that are formed by a free radical oxygenation of arachidonic acid. A synthesis of one of the isoprostanes relied on the following Diels Alder reaction. Predict the regiochemistry and stereochemistry of the major product.

Video Solution

TOP