Orgoreview

Question Vault

Welcome to orgoreview question vault. We have 5000 more problems for you to solve.

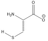
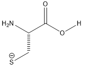
Six different protonation states of the amino acid cysteine are shown below. Which structure represents the major species in a solution buffered at pH 7?

The pKa of the NH4+ group is 10.8.  The pKa of the SH group is 8.3.  The pKa of the CO2H group is 1.7.    


Video Solution

TOP