Login
Textbook
Cheat Sheets
Orgoreview
Question Vault
Welcome to orgoreview question vault. We have 5000 more problems for you to solve.
Share
Show
Answer
Show
Solution
Video
Solution
Print
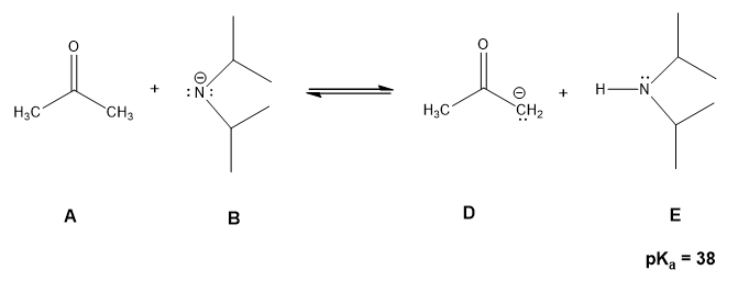
QUestion
Select those statements that are
not true
for the following equilibrium.
(A)
The equilibrium favours the compounds shown on the right.
(B)
Compound
E
is the conjugate acid of base
B
.
(C)
Compound
B
is a stronger base than compound
D
.
(D)
Compound
D
is the conjugate base of acid
A
.
(E)
Ketone
A
is a weaker acid than amine
E
.
Video Solution
×
TOP