Login
Textbook
Cheat Sheets
Orgoreview
Question Vault
Welcome to orgoreview question vault. We have 5000 more problems for you to solve.
Share
Video
Solution
Print
QUestion
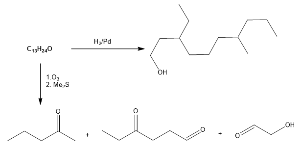
Reduction of an insect pheromone of unknown structure (C
13
H
24
O) gives the alcohol on the right. Ozonolysis gives the three products at the bottom. Predict the structure of the pheromone.
Video Solution
×
TOP