Login
Textbook
Cheat Sheets
Orgoreview
Question Vault
Welcome to orgoreview question vault. We have 5000 more problems for you to solve.
Share
Show
Answer
Print
QUestion
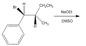
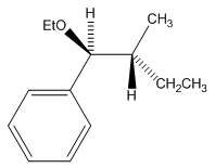
Choose the major product of the following reaction
(A)
(B)
(C)
(D)
(E)
TOP