Login
Textbook
Cheat Sheets
Orgoreview
Question Vault
Welcome to orgoreview question vault. We have 5000 more problems for you to solve.
Share
Video
Solution
Print
QUestion
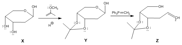
Using the curved arrow formalism show the bond breaking and bond making that occurs in the transformation of
X
to
Y
in the following reaction.
Video Solution
×
TOP