Login
Textbook
Cheat Sheets
Orgoreview
Question Vault
Welcome to orgoreview question vault. We have 5000 more problems for you to solve.
Share
Video
Solution
Print
QUestion
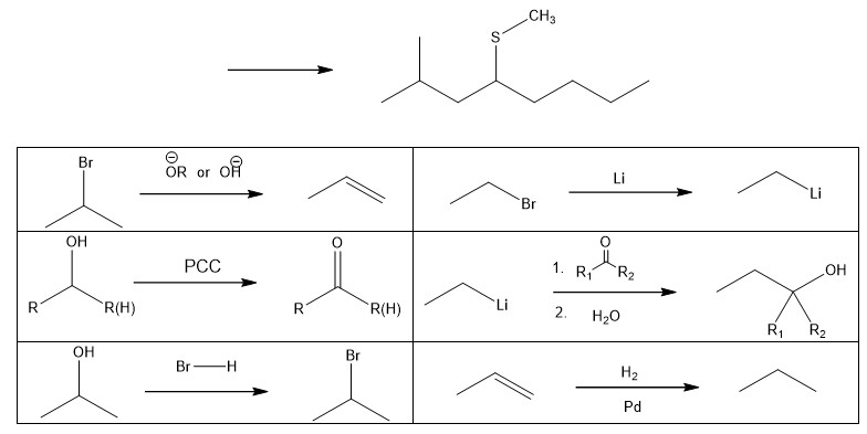
Using the library of synthetic reactions shown below as well as your knowledge of substitution reactions, propose a synthesis of the following compound from compounds containing four carbon atoms or less.
Video Solution
×
TOP