Login
Textbook
Cheat Sheets
Orgoreview
Question Vault
Welcome to orgoreview question vault. We have 5000 more problems for you to solve.
Share
Video
Solution
Print
QUestion
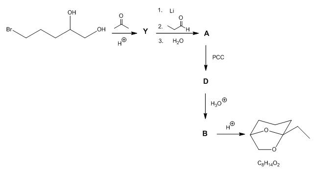
The following is a synthesis towards a bicyclic ketal starting from 5-bromo-1,2-pentadiol.
Draw the structure of compound A.
Draw the structure of compound B
Video Solution
×
TOP