Login
Textbook
Cheat Sheets
Orgoreview
Question Vault
Welcome to orgoreview question vault. We have 5000 more problems for you to solve.
Share
Show
Answer
Show
Solution
Video
Solution
Print
QUestion
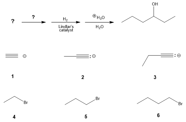
Select the best pair of reactants that would produce 3-hexanol as the major product of the following reaction sequence.
(A)
1 + 5
(B)
1 + 6
(C)
2 + 5
(D)
2 + 6
(E)
3 + 4
(F)
3 + 5
Video Solution
×
This video file cannot be played.
(Error Code: 102630)
TOP