Login
Textbook
Cheat Sheets
Orgoreview
Question Vault
Welcome to orgoreview question vault. We have 5000 more problems for you to solve.
Share
Show
Answer
Video
Solution
Print
QUestion
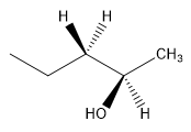
A sawhorse drawing of (R)-2-pentanol is shown below. Choose the corresponding Newman projection.
(A)
(B)
(C)
(D)
(E)
(F)
Video Solution
×
TOP