Orgoreview

Question Vault

Welcome to orgoreview question vault. We have 5000 more problems for you to solve.

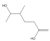
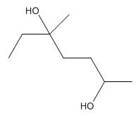
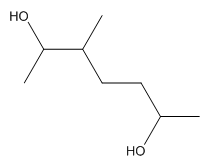
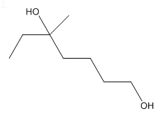
Choose the major product of the following reaction.

TOP