Login
Textbook
Cheat Sheets
Orgoreview
Question Vault
Welcome to orgoreview question vault. We have 5000 more problems for you to solve.
Share
Show
Answer
Video
Solution
Print
QUestion
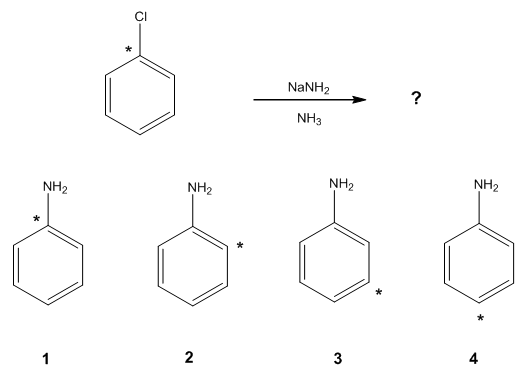
What product(s) is/are expected from the following nucleophilic aromatic substitution by an elimination/addition mechanism? The reactant is labeled with 14C-isotope at the site marked with an asterisk.
(A)
1 only
(B)
2 only
(C)
1 and 2
(D)
2 and 4
(E)
3 and 4
(F)
all of them
Video Solution
×
TOP