Login
Textbook
Cheat Sheets
Orgoreview
Question Vault
Welcome to orgoreview question vault. We have 5000 more problems for you to solve.
Share
Show
Answer
Video
Solution
Print
QUestion
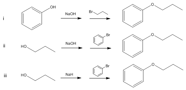
Here are three possible syntheses of phenylpropylether. Which ones would work?
(A)
i only
(B)
iii only
(C)
ii or iii
(D)
i or iii
(E)
i or ii or iii
Video Solution
×
TOP