Orgoreview

Question Vault

Welcome to orgoreview question vault. We have 5000 more problems for you to solve.

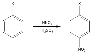
Consider the following nitration reaction.


Which compound would be predicted to be the most reactive?

Here are some possible reactants.
TOP